成品油流量計安裝時直管段長度與測量精度的關系
點擊次數:2258 發布時間:2020-11-06 06:03:24
成品油流量計是吸取了國內外流量儀表先進技術經過優化設計,具有結構簡單、輕巧、精度高、復現性好、反應靈敏,安裝維護使用方便等特點的新一代流量計,若與具有特殊功能的顯示儀表配套,還可以進行A定量控制、超量報警等,是流量計量和節能的理想儀表。 該類渦輪流量產品本身具備現場顯示功能,也可將流量信號以脈沖的形式遠傳輸出。儀表價格低廉,集成度高,體積小巧,特別適用于與二次顯示儀、PLC、DCS等計算機控制系統配合使用。
對于測量精度和誤差影響我們也沒有實際的經驗數據,如果測量參數用于過程控制,在工藝能夠接受的范圍內的誤差都是可以的,如果是用于計量,如水,天然氣,油等則應達到其標稱精度,另外用于計量的儀表計量局會對其進行驗收,不達標的不會通過。
如果有條件建議直管段留長一些。
一般孔板的為前10D后5D,也有為前24D后7D的時候,*好是前直管段30~50D為好
成品油流量計為前15D后5D
渦街流量計為前15-20D后5D
對于質量流量計無特殊要求
轉子、橢圓齒輪流量計也無特殊要求
不過一般直管段*好是有,長度盡可能的長。

成品油流量計是一種速度式流量儀表,由于具有結構緊湊、測量精度高、反應速度快、測量范圍廣、價格低廉和安裝方便等優點,而得到廣泛應用。對于貿易結算計量,流量計的精確度是至關重要的。
成品油流量計在測量過程中對直管段的一般性要求為:流量計必須水平安裝在管道上(管道傾斜在5以內),安裝時流量計軸線應與管道軸線同心,流向要一致。 流量計上游管道長度應有不小于2D的等徑直管段,如果安裝場所充許建議上游直管段為20D、下游為5D。
影響成品油流量計精度的主要外部因素是流體的流動狀態,成品油流量計特性曲線要保持良好的線性關系,流過流量計的流體應為充分發展的流型。對流量計的精度和直管段的預測,為不同精度要求的成品油流量計選擇適當長度的直管段提供了理論參考。
影響成品油流量計精度的主要外部因素是流體的流動狀態,成品油流量計特性曲線要保持良好的線性關系,流過流量計的流體應為充分發展的流型。
1.旋轉系數與下游直管段長度之間的關系旋轉流的旋轉強度用旋轉系數來表示,旋轉系數定義為角動量通量與軸向動量通量的比值:

式中: w———周向速度;
u———軸向速度;
R———管道半徑;
A———流體流過的橫截面積;
ρ———密度。
對于圓管內的旋轉流,在r= 0.95R處的旋轉
角度*大,即:

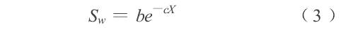
采用多項迭代的方法,可編程計算出在某個X值時(X為圓管直徑D的倍數)滿足一定精度的Sw值:

常數b和c與流體性質、雷諾數和流量有關,需要通過實驗確定。對于不可壓縮流體, b= 0.030~ 0.085, c= 0.10~ 0.50。一般來說,流量越大,旋轉流的衰減越大,由式(3)可以看出,旋轉流發生后的直管段越長,旋轉流的強度越弱,對成品油流量計精度的影響越小。
2.實驗設計與結果分析
為了在實驗過程中能得到理想的旋轉流體,實驗中采用了模擬多種強度旋轉流的發生器,旋轉流發生器安裝在流量計上游來流的起始點處。實驗采用稱量法,記錄電子稱上的質量脈沖數
N,N乘以質量脈沖常數(0.08333),即得到質量值(kg),同時記錄時間和渦輪變送器的脈沖數,在每個流量點重復做三次,記錄三組數據,共選擇5個流量點來覆蓋成品油流量計的測量量程。流量Q= 0.08333N/t,儀表系數為:

儀表系數K與旋轉數Sw成線性關系,儀表精度為:

其中α、d均為待定系數。根據實驗所得多組脈沖數和流量數據,可計算出儀表精度δ值。按δ- X方程及δ和X數據進行*小二乘法回歸,可確定α和d的數值。一般來說,對不可壓縮流體,α= 1.15~ 2.20, d= 0.016~ 0.11。
3.直管段長度和成品油流量計精度的初步預測在工程設計中,根據流體性質、流量和雷諾數確定α和d值。這樣,按照式(5)就可以依不同的流量計精度要求,對直管段長度進行初步預測,或確定直管段長度后,對流量計的精度做初步預測。當δ= 0.2%時,不同流量下所需直管段長度見表1。

當X= 30時,不同流量下儀表精度見表2

對流量計的精度和直管段的預測,為不同精度要求的成品油流量計選擇適當長度的直管段提供了理論參考。
4.結語
(1)旋轉數Sw與X成指數關系,即隨著下游距離X的增加,旋轉流強度以指數方式衰減。指數系數c和α值與介質的性質,雷諾數等參數有關。
(2)對于任一旋轉流源,隨著下游距離X的增加,在大流量區旋轉流強度衰減速度快,而在小流量區,旋轉流強度衰減速度要慢一些,因此,對小流量的流量計管道設計中需要加長直管段,以減少旋轉流對流量計精度的影響。
(3)不論旋轉流的方向如何,流量計越靠近旋轉流源,流量計的精度δ越差,流量計精度可以按式(5)進行初步預測。
對于測量精度和誤差影響我們也沒有實際的經驗數據,如果測量參數用于過程控制,在工藝能夠接受的范圍內的誤差都是可以的,如果是用于計量,如水,天然氣,油等則應達到其標稱精度,另外用于計量的儀表計量局會對其進行驗收,不達標的不會通過。
如果有條件建議直管段留長一些。
一般孔板的為前10D后5D,也有為前24D后7D的時候,*好是前直管段30~50D為好
成品油流量計為前15D后5D
渦街流量計為前15-20D后5D
對于質量流量計無特殊要求
轉子、橢圓齒輪流量計也無特殊要求
不過一般直管段*好是有,長度盡可能的長。

成品油流量計是一種速度式流量儀表,由于具有結構緊湊、測量精度高、反應速度快、測量范圍廣、價格低廉和安裝方便等優點,而得到廣泛應用。對于貿易結算計量,流量計的精確度是至關重要的。
成品油流量計在測量過程中對直管段的一般性要求為:流量計必須水平安裝在管道上(管道傾斜在5以內),安裝時流量計軸線應與管道軸線同心,流向要一致。 流量計上游管道長度應有不小于2D的等徑直管段,如果安裝場所充許建議上游直管段為20D、下游為5D。
影響成品油流量計精度的主要外部因素是流體的流動狀態,成品油流量計特性曲線要保持良好的線性關系,流過流量計的流體應為充分發展的流型。對流量計的精度和直管段的預測,為不同精度要求的成品油流量計選擇適當長度的直管段提供了理論參考。
影響成品油流量計精度的主要外部因素是流體的流動狀態,成品油流量計特性曲線要保持良好的線性關系,流過流量計的流體應為充分發展的流型。
1.旋轉系數與下游直管段長度之間的關系旋轉流的旋轉強度用旋轉系數來表示,旋轉系數定義為角動量通量與軸向動量通量的比值:

式中: w———周向速度;
u———軸向速度;
R———管道半徑;
A———流體流過的橫截面積;
ρ———密度。
對于圓管內的旋轉流,在r= 0.95R處的旋轉
角度*大,即:

采用多項迭代的方法,可編程計算出在某個X值時(X為圓管直徑D的倍數)滿足一定精度的Sw值:

常數b和c與流體性質、雷諾數和流量有關,需要通過實驗確定。對于不可壓縮流體, b= 0.030~ 0.085, c= 0.10~ 0.50。一般來說,流量越大,旋轉流的衰減越大,由式(3)可以看出,旋轉流發生后的直管段越長,旋轉流的強度越弱,對成品油流量計精度的影響越小。
2.實驗設計與結果分析
為了在實驗過程中能得到理想的旋轉流體,實驗中采用了模擬多種強度旋轉流的發生器,旋轉流發生器安裝在流量計上游來流的起始點處。實驗采用稱量法,記錄電子稱上的質量脈沖數
N,N乘以質量脈沖常數(0.08333),即得到質量值(kg),同時記錄時間和渦輪變送器的脈沖數,在每個流量點重復做三次,記錄三組數據,共選擇5個流量點來覆蓋成品油流量計的測量量程。流量Q= 0.08333N/t,儀表系數為:

儀表系數K與旋轉數Sw成線性關系,儀表精度為:

其中α、d均為待定系數。根據實驗所得多組脈沖數和流量數據,可計算出儀表精度δ值。按δ- X方程及δ和X數據進行*小二乘法回歸,可確定α和d的數值。一般來說,對不可壓縮流體,α= 1.15~ 2.20, d= 0.016~ 0.11。
3.直管段長度和成品油流量計精度的初步預測在工程設計中,根據流體性質、流量和雷諾數確定α和d值。這樣,按照式(5)就可以依不同的流量計精度要求,對直管段長度進行初步預測,或確定直管段長度后,對流量計的精度做初步預測。當δ= 0.2%時,不同流量下所需直管段長度見表1。

當X= 30時,不同流量下儀表精度見表2

對流量計的精度和直管段的預測,為不同精度要求的成品油流量計選擇適當長度的直管段提供了理論參考。
4.結語
(1)旋轉數Sw與X成指數關系,即隨著下游距離X的增加,旋轉流強度以指數方式衰減。指數系數c和α值與介質的性質,雷諾數等參數有關。
(2)對于任一旋轉流源,隨著下游距離X的增加,在大流量區旋轉流強度衰減速度快,而在小流量區,旋轉流強度衰減速度要慢一些,因此,對小流量的流量計管道設計中需要加長直管段,以減少旋轉流對流量計精度的影響。
(3)不論旋轉流的方向如何,流量計越靠近旋轉流源,流量計的精度δ越差,流量計精度可以按式(5)進行初步預測。


