液氧流量計如何檢測
點擊次數:2709 發布時間:2021-09-29 02:49:37
每臺液氧流量計出廠時均經過嚴格的檢定,但在使用中因環境的變化,安裝條件的差異,尤其是在被測介質與原檢定介質相差甚大的條件下,液氧流量計在計量過程中會出現相應的示值誤差,需要對其進行重新檢定。用戶在對液氧流量計進行檢定時可按以下兩種方法進行:
1.液氧流量計實流檢定
液氧流量計在檢定過程中可參照速度液氧流量計檢定規程進行,動態流量檢定和總量檢定。如果在檢定過程中,液氧流量計出現誤差,參照《儀表誤差修正方法》中的方法和步驟。
2.干式檢定,即采用砝碼掛重法
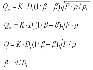
在采用干式法檢定時,*先根據以下公式計算出各流量點作用于阻流件(靶)上的力F

式中:Qm--質量瞬時流量(kg/h);Qn--標準狀態體積瞬時流量(Nm3/h);Q--體積瞬時流量(m3/h);
K--流量系數;Di--液氧流量計內徑(mm);F--介質作用于阻流件(靶)上的力(Kg);
ρ--被測介質的工況密度(Kg/m3);ρo--標準狀態下的介質密度(Kg/m3);
β--靶徑比;d--阻流件(靶)直徑;
上式中系數K由生產廠家提供,用戶可利用公式依次計算出儀表流量范圍內瞬時流量Q與介質作用于阻流件上的力F間相對應的關系值,從而對儀表進行標定。掛砝碼方法:
a.*先將液氧流量計垂直固定住不動(相當重要),將液氧流量計靶片受力面向上保證靶片水平;
b.在保持液氧流量計靜止狀態下清零,用細繩子拴住所計算出的砝碼重量掛在靶片的中心點上,砝碼垂直于靶片中心點下。這時觀看表頭瞬時流量值(環境不得有振動及風),并記錄下,再根據所算出的標準瞬時流量值進行流量系數修正,方法見《儀表誤差修正方法》。
c.周期檢定的液氧流量計可向廠家查詢出廠掛砝碼記錄。
d.滿量程的100%、75%、50%、35%、10%掛重三個點或五個點就可知液氧流量計線性與測量范圍。
e.此砝碼掛重法用于帶溫壓補償式液氧流量計時應配合壓力計和電阻箱方可進行。
上一篇:工業液氧流量計的安裝使用說明
下一篇:液氧流量計的安裝流程


